https://note.com/hiroshi_arakawa/n/ne9f593271aab
<転載開始>
2025年9月6日にSpicher博士、McKernan先生らによるコロナワクチン汚染DNAに関する問題提起の査読済み論文が発表されたのとほぼ同じ時期にスロバキアのウイルス研究者のAschらから、「コロナワクチンへのDNA汚染は微量で問題無し」とするプレプリントが発表されました。
Systematic analysis of COVID-19 mRNA vaccines using four orthogonal approaches demonstrates no excessive DNA impurities
Achs et al. (2025) Preprint
4つの直交的アプローチを用いたCOVID-19 mRNAワクチンの系統的解析により、過剰なDNA不純物は認められない事が実証された
このプレプリントに対してMcKernan先生はご自身のsubstackで丁寧に反論しています。
さて、今回改めて私もこのプレプリントの研究について考察してみたいと思います。
断片化したDNAを含むDNA総量をqPCRで定量できるのか?

qPCRにおける定量値とはDNAのコピー数を反映したものですが、この論文では全長プラスミドの分子量に基づいて、投与量当たりの質量に換算されています (図1)。もし仮にワクチン中に全長の環状プラスミドDNAのみが存在するのならば、1つの領域の定量から全量DNAを推定する事もできますが、実際には汚染DNAは断片化しており、それぞれのDNA断片のサイズ、量、分布もまちまちです。そのため、ここでの汚染DNAの質量とは測定値と言うよりも推定値となります。
論文内でのqPCRのアンプリコンのサイズは63 bp〜233 bpと数値の幅が大きいのですが、図からはアンプリコンが小さくなるほど検出量が多くなる傾向が見て取れます (図1)。例えばスパイクに対するqPCRプライマーについては、著者らがデザインしたSPIKE 1Aは228 bp、SPIKE 2は233 bpとオリやKan (カナマイシン耐性遺伝子) のアンプリコンよりも大きく、検出量は投与量当たり0.3 ng、0.7 ngと小さい事が分かります。ランダムに断片化したDNAは、鋳型乗り換えによる増幅が効率良く起こらないため、アンプリコンを大きくすればするほど断片化DNAは過小評価されます。
例えばこの研究でのロット番号FP9632ワクチン中のDNAを、スパイクに対するqPCRで推定すればDNA量は0.3 ng、1.8 ng、0.7ng、オリで推定すれば3.1 ng、4.9 ng、3.1 ng、カナマイシン耐性遺伝子で推定すれば7.9 ngになります。しかしこれらの数値はそれぞれのDNA断片の定量に過ぎません。では、ロット番号FP9632ワクチンの実際の汚染DNA量とは一体いくらになるのでしょうか? 数値のばらつきを見ても分かるように、バイアルの汚染DNA総量は結局のところqPCRでは分からないのです。
本来PCRとはDNAの混合物の中から特定の遺伝子を定量するための技術ですが、これは言い換えると、PCRの欠点は特定の遺伝子しか検出できないという事です。実際、著者らはディープシークエンシングによって細菌DNAも検出はしているのですが、基本的に予期せぬDNAや未知のDNAの存在をPCRでは検出できません。また、対象となるDNAが切断されていたり、損傷を受けている場合には増幅自体が困難となります。
図1ではアンプリコンが小さくなるほどDNAの定量値が大きくなっており、より小さなDNAは測定の対象外となります。この研究における最大の測定値は最小のアンプリコンで検出された7.9 ngですが、この数値さえも過小評価の可能性が高いのです。
精製DNAの定量について

Achsらの実験ではRNaseによってワクチンのRNAを分解し、汚染DNAを精製してから定量しています。「精製」とは混合物から不純物を取り除いて純物質にする工程ですが、ではそもそも実際に不純物のみを取り除く事などできるのでしょうか?
フェノール/クロロホルム抽出とエタノール沈殿は分子生物学においては古典的なDNA精製法ですが、この手法では低分子DNAを失うバイアスがかかります。また、DNAの精製にシリカカラムを使う場合には、まずはカラムにDNAに結合させ、不純物を洗い流してからDNAを溶出するという工程を経るのですが、その際、サイズの小さなDNAはカラムへの結合力が弱いために洗浄の過程で失われやすく、逆にサイズの大きなDNAはカラムへの結合力が強いために溶出されにくい傾向があります。また、カラム結合や洗浄、溶出に使用する溶液やカラムの種類次第でサイズバイアスがかかり、精製の過程で特定のサイズのDNAが失われやすくなります。実際、そうしたサイズバイアスを応用したものがディープシークエンシングのDNAサンプル調整のための磁気ビーズの技術なのです。ディープシークエンシングはコストが高い実験です。そのため、遺伝子情報量が少ない小さなDNA断片を選択的に除くためにも磁気ビーズによる精製は実験の現場で汎用されています。
図2Aの実験にはフェノール/クロロホルム/イソアミルアルコール抽出とエタノール沈殿が用いられていますが、その方法では上記のように短いDNAは失われます。そして図2B実験にはMAGicBeads cfDNA Isolation Kitが用いられていますが、この手法でも短いDNAは失われます。また、RNAを除去する過程でDNA/RNAハイブリッドも失われる可能性があります。さらに、著者らは二本鎖DNA用のキットを使用しており、一本鎖DNAは測定されていないため、これではDNA量を元々少なく見積もる事になります。
「汚染DNAを過小評価した上で基準値を越えてはいなかった」というのがこの実験結果による著者らの主張ですが、実際には精製過程で短いDNAを失った後に測定しているために、精製前にどれほどのDNAが含まれていたかは不明なのです。
断片化DNAのサイズ分布は?

電気泳動はDNAのサイズ分布を見るのに適した方法です。著者らはキャピラリ電気泳動によって汚染DNAを観察しようと試みましたが、DNAは検出できませんでした (図3)。75 bp、20000 bpあたりのピークは位置マーカーのものですが、その間にも特徴的なDNAのパターンは見られませんでした。しかしながら、もしワクチン中にDNAが存在しないのなら図1、図2の実験結果と矛盾するため、これは実験の感度の問題かもしれません。例えば、単に電気泳動に使用したDNA量が足りなかった場合でもこのような結果になるでしょう。いずれにせよ、著者らのキャピラリ電気泳動では汚染DNAのサイズ分布は分かりませんでした。
イルミナディープシークエンシングでDNAのサイズ分布を測定できるのか?

本来ディープシークエンシングとはコストの高い実験ですが、この研究では全長プラスミドのサイズを考慮した上でも、過剰とも言えるスケールでのディープシークエンシングが行われており、その事からも潤沢な研究資金を使っている様子が伺えます。
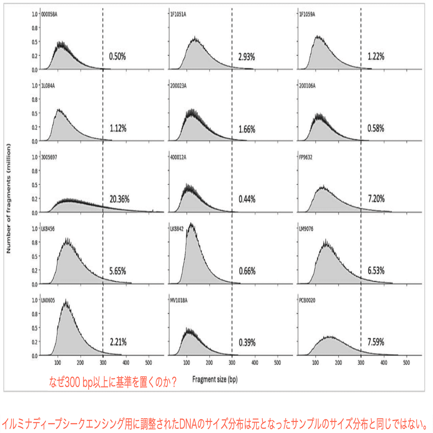
いずれにせよ、この実験でのディープシークエンシングの結果、汚染DNAはワクチン鋳型プラスミドに由来するものが大部分であり、短鎖断片へと高度に分解されている事が分かりました。また、微量ですが大腸菌やバクテリオファージ (細菌に感染するウイルス) の遺伝情報も検出されました。著者らは300 bp以上のDNAが少ない事を強調していますが (図4)、実際には遺伝子にはどのようなサイズのDNAが挿入しても遺伝子機能は壊れてしまうのです。
実験ではDNAサンプル調整のためにスピンカラムが使用されているのですが、この方法でも低分子DNAを失うサイズバイアスがかかります。小さなDNA断片は遺伝子情報量が少ないため、シークエンシングによるサンプル調整の際にはそれらを取り除く必要がある場合があり、そのため磁気ビーズによる精製などが行われます。しかしながら、ここでは磁気ビーズ精製の詳細な実験条件が記載されておらず、イルミナディープシークエンシングのサンプル調整の過程で実際どれほどの低分子DNAが除去されたかが不明です。また著者らはディープシークエンシングのサンプルをPCR増幅していますが、この過程では大きなDNAは増幅されにくいために、大きなDNAを失うサイズバイアスもかかります。このようにサンプル調整の過程で元のDNAから小さなDNA、大きなDNAの両者が除かれ、中間サイズのDNAが濃縮される傾向があります。こうした理由のため、ディープシークエンシングに現れるDNA断片のサイズ分布とは本来の汚染DNAのものとは異なるのです。
著者らの解析の問題点
「未申告の起源のDNA」を含む「相当量のDNA」が含まれていると報告されていた。その報告書は、不適切に設計され、不十分に行われた分析の結果を記述しており、根拠のない結論を導いている。このような根拠に基づき、著者らはワクチンが人間の健康に及ぼす影響に関する憂慮すべきシナリオを提案し、それが公の場やソーシャルメディアで提示された。そこでは大きな注目を集め、一般市民と高位の意思決定者の双方に論争を引き起こした。
この情報流行に対処するため、 独立検証データを用いて、4つの直交分子手法(定量PCR、蛍光測定、断片分析、シークエンス解析 (ショートリード・マッ シブリーパラレル)) により、11の期限切れバッチを含む15のmRNAワクチンバッチの包括的解析を実施した。
同一ワクチンロットに対する我々の分析は、複数の直交的で厳密に管理された分析手法を用いて残留DNAを体系的に検査する事で、これらの主張を完全に否定した。
ディープシークエンシングの結果から、断片化された低分子DNAがコロナワクチンに混入していた事は間違いありません。しかしながら、著者らのqPCRによる定量値には大きな幅があり、また、アンプリコンのサイズを小さくするほど測定値が上がっています。そもそもqPCRは特定の遺伝子を定量する技術であり、DNA総量を測定するには不向きです。著者らは蛍光光度計によるDNA量測定の前にDNAの「精製」を行なっていますが、精製前からどれほどのDNAがロスしたかについては考慮されていません。イルミナディープシークエンシングで分かるものはバイアスをかけた後のサイズ分布です。キャプラリー電気泳動ではqPCRや蛍光光度計で測定できたDNAを捕捉できておらず、汚染DNAの本来のサイズ分布は不明です。
著者の立ち位置
堅牢な疫学データは、ワクチン接種が数百万の命を救い、SARS-CoV-2感染による重症COVID-19から接種者を保護した事を裏付けている。この証拠にも関わらず、COVID-19 mRNAワクチンは、因果関係が証明されていないワクチン接種後の偶発的な健康事象に基づいて構築された、ほとんど根拠のない懐疑論の標的となっている。mRNAワクチンの安全性に対する信頼を損なう主張の一例として、ワクチン製造工程からの過剰な残留DNAが挙げられる。
mRNAワクチンは、COVID-19パンデミックの管理において前例のない画期的な進展をもたらし、SARS-CoV-2コロナウイルス感染による死亡率と入院率の低減に大きく貢献している。
権威ある科学雑誌で査読付き科学論文として発表された分析結果および規制当局及び監督当局の声明によれば、残留DNAの量はワクチン1回投与量あたり10 ngという定められた限界値を超えていない。
一方、様々な代替プラットフォームでは、非標準的な手法で発表された多数の報告が存在する。これらの報告は技術的に一貫性のない分析に基づき過剰な残留DNAを主張し、その人体への影響に関する根拠のない推測を提示している。こうした虚構はソーシャルメディアや公人の非専門家による発言を通じて拡散し、過大な注目を集めている。これは公衆の懸念を煽り、科学的・医学的証拠への信頼を損なう。その結果、ワクチン接種の重要性に対する疑念が高まり、最終的に公衆衛生を危険に晒す事になる。
誤情報を掲載した報告の大半は査読を通過していないが、依然として公の場で様々なプラットフォームで共有され、恐怖やワクチン接種への躊躇を広めている。
要約すると、本研究はmRNAベースのCOVID-19ワクチンに残留DNAが存在するという懸念と誤情報が増大している事に対応する国家的取り組みの一環として開始された。反ワクチン団体により、潜在的に有害なDNAが高濃度で存在するという主張が広く拡散され、ワクチン接種への躊躇を助長し、公衆の信頼を損なっている。
ディープシークエンシングのコストを踏まえても、この研究には相当に潤沢な資金が投入されている事が伺えます。この研究はコロナワクチンのDNA汚染を「誤情報」とするための取り組みの一環として行われたものであり、そうした研究には資金が出やすいのかもしれません。本来「反ワクチン」という言葉は海外では差別用語として使われていますが、著者らは論文中で「反ワクチン」という言葉を繰り返し使い、反ワクチン団体が人々のワクチン接種への躊躇を助長していると強く非難しています。
また著者らは、コロナワクチンが数百万人の命を救ったとして、mRNAワクチン接種の重要性を訴えており、こうした記述からからも分かるように、彼らは明確なコロナワクチンを始めとするmRNAワクチンの推進派であり、論文自体にもコロナワクチンを擁護しようとするバイアスが強くかかっています。
いずれにせよ人はその立ち位置によって考え方が異なるものです。そのため著者らのmRNAワクチンに関する主張も、彼らの立ち位置を考えれば理解しやすいかもしれません。実際ワクチンメーカーやワクチン開発者ならばワクチンを守ろうとするでしょうし、mRNA技術の研究者ならばmRNA技術を守りたいでしょう。利権に関わる者は利権を守ろうと行動するものです。
そもそも規制当局の決めた10 ngの基準以下なら安全なのか?
スパイクタンパク質をコードする配列の3'領域を対象としたqPCRに基づき、論文13の著者らはワクチンに「相当量のDNA」が含まれると主張している。具体的には:スパイクバックスワクチン 1mlあたり10⁷ – 10⁸ コピー/ml (ワクチン1回分あたり5×10⁶ – 5×10⁷ コピーに相当)、およびコミナティワクチン 1mlあたり10⁸~ 10⁹ コピー/ml (ワクチン1回分あたり3×10⁷~ 3×10⁸ コピーに相当)と報告している。これらのコピー数は一般人には圧倒的に思えるかもしれないが、1回分あたりのテンプレートDNA量をナノグラム単位に換算すると、結果はワクチン1回分あたり10 ngという限界値を大きく下回っている。
フラグメント長の中央値は約150塩基対であった。この分解度は、生物学的製剤中の残留DNAは通常機能せず、複製や組み込み能力を持たないという従来の規制上の仮定と一致する。観察されたフラグメント長は潜在的な生物学的活性に関連する閾値を下回っており、特にmRNAワクチンの製造に真核細胞基質が含まれない場合、その生物学的非活性性についてさらなる確証を提供する。
全検体および分析法において、残留DNA含有量は1回投与量あたり一貫して10 ng未満であり、WHO、EMA、FDAが設定した規制閾値を満たしている。異なる手法で得られたこの一貫した知見は、データの信頼性を示し、これらのワクチンにおける残留DNAレベルが最小限かつ適切に管理されているという結論を裏付ける。
DNA量の低さ、プラスミド起源、および高度な断片化が相まって、ヒトの健康へのリスクは無視できるレベルである事を示唆している。
この研究では投与量当たり7〜8 ngの汚染DNA断片を検出しています。にも関わらず、そのように相当な「数」のDNA断片であっても「質量」で計算すると、ごくわずかであるかのように著者らは主張しており、こうした表現からも、彼らがいかにリスクを矮小化しようと試みているのかが見て取れます。たとえ「質量」で見るとわずかであったとしても汚染DNAの「分子数」は莫大なのです。また、そもそも規制当局が決めた10 ngの基準自体が安全性を保証する科学的根拠に乏しく、しかもこの基準とはmRNAワクチンではなく従来型のワクチンに適用されてきたものです。mRLNPに包まれた汚染DNAは細胞に直接取り込まれるため、単純に今までのこの基準をmRNAワクチンに適用するべきではないのです。
また、著者らの「mRNAワクチン内の汚染DNAは生物学的機能を持たないだろう」という楽観的な主張には肝心な視点が抜け落ちています。繰り返しになりますが、汚染DNAの危険性とはその量よりも「数」にあります。ガラス板一枚よりも、粉々になったガラス破片はより危険なのです。また、ワクチンに含まれるDNAの小さな断片はまさに散弾銃の弾丸のようなものだともBuckhaults博士は例えています。 遺伝子に統合されたDNA断片の大きさがどのようなものであっても、遺伝子を壊すリスクには大差がないからです。問題の根本は汚染DNA量の過小評価ではなく、ゲノム改変というリスクを過小評価している事なのです。
「汚染DNAは危険である」という主張に対しての「いや危険ではない可能性もある (=安全な可能性がある)」というmRNA推進派の反論
「たとえわずかであってもヒトの遺伝情報の書き換えが良いわけがない」という主張に対しての「遺伝情報の書き換えも少しくらいであれば別に良いのではないか」というmRNA推進派の反論
DNA汚染についての論争とはこうした構図なのです。実際DNA汚染問題に関する界隈の対立とは各々の立ち位置の違いでもあり、また、人為的な遺伝情報の書き換えを許容するのかどうかという理念の違いが背景にあります。
事実上、mRNAワクチンであるコロナワクチン接種とは本人の同意を取らずに行われた遺伝子治療でした。LNPに封入された汚染DNAはあらゆる細胞に取り込まれ、そしてゲノムに取り込まれればそれはゲノムの一部となります。また最も深刻な問題として、mRNAワクチンは卵巣にも届く事が確認されており、それはつまり次の世代のゲノムの書き換えすらも起こり得るという事です。修飾RNAとその鋳型となったDNA断片は相同性によりハイブリッドを形成できるのですが、そうしたDNA/RNAハイブリッドをLNPに封入し、人体に投入するなど人類史初の人体実験であり、その危険性の大きさは未だ計り知れないのです。
#コロナワクチン
#ワクチン
#コロナ
*記事は個人の見解であり、所属組織を代表するものではありません。
<転載終了>
SEQUENCINGと偶然重なる)事象を疫学的因果関係により、判例の刑法的因果関係の条件説(ワクチン毒なければDNA傷害の結果なし、CONDICIO SINE QUO NON)と同一結論を証明した。
日本政府は年間50万人の超過死亡が出た時点(現在は100万人超過)で、毒ワクチン接種圧力、推奨などの行為と国民の死亡の因果関係を上記条件説で肯定し、疫学的因果関係によっても記事により同じ結論だから、同行為が故意、過失責任のいずれかで行われた事は明白(つまり睡眠中の寝返りや夢遊病やDEEPSTATEの強迫等で行なわれた事が証明されれば無罪)で、検察や刑事警察職員は責任者を逮捕し起訴し公判の結果で処罰できる(人道に対する罪の処罰は条約があれば肯定できる)。
民事的には被害者への賠償と将来の傷害、殺人賠償責任の予算獲得義務が政府にある。原資はワク珍製造会社とDSから出すべきで、国民の黄金時代のAI幕開けが始まり、トランプ政権のワクチン行政責任は米国に日本追随を迫る準備となる
高市総理を担いでも、出来ないなら自民党とDSは崩壊し犠牲が多大な黄金時代の到来だ。
genkimaru1
が
しました